Resco
  • Home
  • Giới thiệu
    • GIỚI THIỆU CHUNG
    • LỊCH SỬ HÌNH THÀNH VÀ PHÁT TRIỂN
    • BỘ MÁY QUẢN LÝ
    • TỔ CHỨC ĐẢNG, ĐOÀN THỂ
  • Dự án
    • KHU DÂN CƯ
    • NHÀ Ở XÃ HỘI
    • CHUNG CƯ
    • CAO ỐC VĂN PHÒNG
  • Sàn giao dịch BĐS
  • Thông tin doanh nghệp
    • CÔNG BỐ THÔNG TIN
    • TIN TÁI CƠ CẤU
  • Tin tức
  • Liên hệ
Resco
  • Home
  • Giới thiệu
    • GIỚI THIỆU CHUNG
    • LỊCH SỬ HÌNH THÀNH VÀ PHÁT TRIỂN
    • BỘ MÁY QUẢN LÝ
    • TỔ CHỨC ĐẢNG, ĐOÀN THỂ
  • Dự án
    • KHU DÂN CƯ
    • NHÀ Ở XÃ HỘI
    • CHUNG CƯ
    • CAO ỐC VĂN PHÒNG
  • Sàn giao dịch BĐS
  • Thông tin doanh nghệp
    • CÔNG BỐ THÔNG TIN
    • TIN TÁI CƠ CẤU
  • Tin tức
  • Liên hệ
  1. Home
  2. Chung cư
  3. Thông báo triển khai kinh doanh 111 căn hộ Lô B Chung cư Bàu Cát II, Tân Bình

Menu

  • Tin tức
  • Giới thiệu
  • Dự án
    • Cao ốc văn phòng
    • Khu dân cư
    • Nhà ở xã hội
    • Chung cư
  • Sàn giao dịch BĐS
  • Đơn vị thành viên
  • Thông tin doanh nghiệp
  • Lịch công tác tuần
  • Liên kết website
  • VBQPPL - Biểu mẫu
  • lịch công tác tuần

Đối tác

  • Resco
  • Resco
  • Resco
  • Resco
  • Resco
  • Resco
  • Resco
  • Resco
  • Resco
  • Resco
  • Resco
  • Resco

Tỷ giá

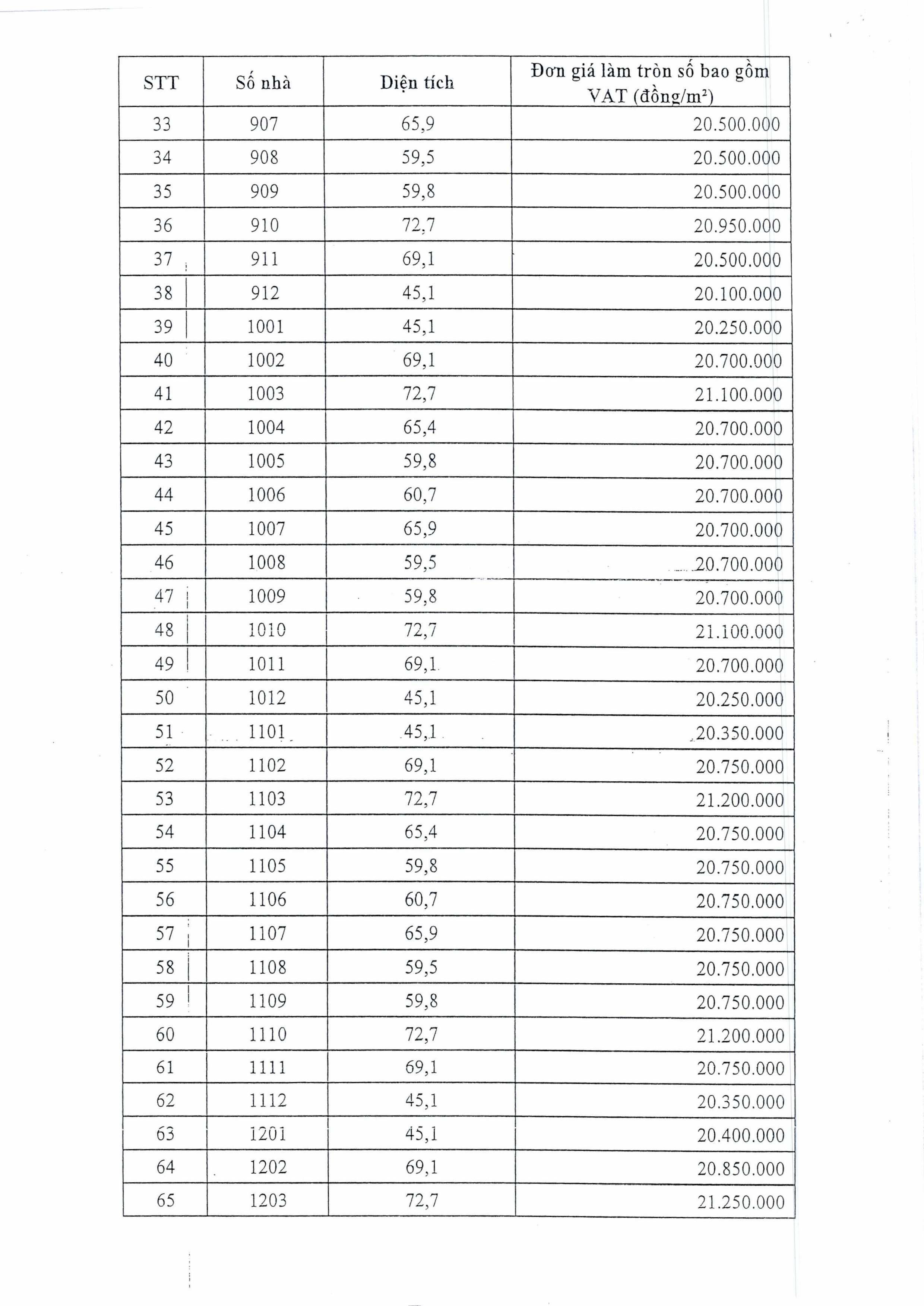
Thông báo triển khai kinh doanh 111 căn hộ Lô B Chung cư Bàu Cát II, Tân Bình


Giới thiệu

Vị trí

Quy mô

Thông tin liên hệ

Đang cập nhật thông tin


 
10/11/2017 7:05:3

  • Chung cư 109 Nguyễn Biểu
  • Chung cư 157/R8(số mới 339/34A)Tô Hiến Thành
  • Chung cư Nguyễn Kim khu B
  • Chung cư An Hội 5
  • Chung cư An Hội 3

      Hãy liên hệ với chúng tôi để biết thêm thông tin

      Liên hệ với chúng tôi

      TỔNG CÔNG TY ĐỊA ỐC SÀI GÒN - TNHH MTV

       41 Sương Nguyệt Ánh P.Bến Thành Q.1 TP HCM

      (84-8) 39 254 255

      (84-8) 39 254 256

      resco@rescovn.com

      Để di chuyển bản đồ bằng cử chỉ chạm, hãy nhấn đúp và giữ ngón tay của bạn trên bản đồ, sau đó kéo bản đồ.
      ←Di chuyển sang trái
      →Di chuyển sang phải
      ↑Di chuyển lên
      ↓Di chuyển xuống
      +Phóng to
      -Thu nhỏ
      Di chuyển lên trênDi chuyển sang trái 75%
      Di chuyển xuống dướiDi chuyển sang phải 75%
      Di chuyển lênDi chuyển lên trên 75%
      Di chuyển xuốngDi chuyển xuống dưới 75%

    • Google
      Dữ liệu bản đồ ©2025 Google
      Dữ liệu bản đồ ©2025 Google
      Điều khoản
      Báo cáo một lỗi bản đồ
      Trang này không thể tải Google Maps đúng cách.
      Bạn có sở hữu trang web này không?
      Visit us: 41 Sương Nguyệt Ánh P.Bến Thành Q.1 TP HCM

      Copyright @ 2016 Tổng Công Ty Địa Ốc Sài Gòn - TNHH MTV

      Create a stunning website with NextgCyber